編者按:創新是引領發展的第一動力。近年來,九江學院堅持"四個面向",持續深化科研體制機制改革,在基礎研究和社會服務領域不斷取得突破。為營造尊重創新、鼓勵探索的學術生態,激勵更多師生在服務國家戰略中貢獻"九院智慧",學校設立"創新成果獎",今日起,校園網將持續刊發學校科學研究和社會服務“創新成果獎”獲獎團隊經驗材料。讓我們以獲獎團隊為榜樣,共同書寫新時代高校科技創新的奮進篇章!
一、成果概要及研究價值
到目前為止,大部分孤子方面的工作,都局限于得到不同種類孤子及其傳輸特性(穩定性)研究,而對如何操縱孤子在傳輸過程中發生變化(方向、束寬、光強、相位、旋轉角速度甚至模的改變)及形成新的孤子,則較少文獻涉及,傳輸中光束的可控變化在處理和傳遞信號方面具有重要的學術價值及應用前景。

二、成果創新之處
1.研究具有離軸和啁啾參數的厄米高斯孤子,在拋物勢阱中的傳輸特性。根據啁啾參數的不同,可以呈現三種不同的傳播狀態(包括蛇形、橢圓和圓螺旋軌跡)。幾個厄米孤子可以組成孤子陣列,并能呈現不同傳輸變化。

圖1 作不同變化的孤子陣列

圖2 對應于圖1中各孤子不同傳輸軌跡
2.首次發現了攜帶多個渦旋相位的孤子可以在拋物勢阱中穩定傳輸,而且單渦光束具有不對稱的旋轉模式和螺旋傳播軌跡。

圖3渦旋核不同偏移量的孤子傳輸圖

圖4 渦旋核不同偏移量孤子的(a)(b)(c)三維傳輸軌跡和(d)橫截面上傳輸軌跡.
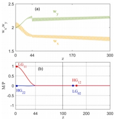
3.利用旋轉橢圓拋物勢阱,實現了拉蓋爾-高斯和埃爾米-高斯光束在傳輸過程中可控相互轉換,及其伴隨軌道角動量的控制。

圖5 (a)厄米孤子轉換為拉蓋爾孤子,(c)拉蓋爾孤子轉換為厄米孤子
(b)和(d)對應的相位演化

圖6 圖5中孤子變化對應的(a)束寬和(b)軌道角動量演化圖
三、成果主要影響力
團隊長期從事非線性物理基礎理論研究,取得了一系列重要研究成果,共有18篇文章發表在非線性光學領域大部分主流權威期刊上。
近期在光場非線性調控前沿理論方面取得三項研究進展,3篇論文于2024年都發表在非線性科學交叉研究領域領軍期刊上,引起了同行的較大關注,發表不足一年時間里他引次數共計30余次。
科研處供稿
責編:向真 審核:張化浩 汪浩